Closure_tree lets your ActiveRecord models act as nodes in a tree data structure
Common applications include modeling hierarchical data, like tags, threaded comments, page graphs in CMSes, and tracking user referrals.
Dramatically more performant than ancestry and acts_as_tree, and even more awesome than awesome_nested_set, closure_tree has some great features:
- Best-in-class select performance:
- Fetch your whole ancestor lineage in 1 SELECT.
- Grab all your descendants in 1 SELECT.
- Get all your siblings in 1 SELECT.
- Fetch all descendants as a nested hash in 1 SELECT.
- Find a node by ancestry path in 1 SELECT.
- Best-in-class mutation performance:
- 2 SQL INSERTs on node creation
- 3 SQL INSERT/UPDATEs on node reparenting
- Support for concurrency (using with_advisory_lock)
- Tested against ActiveRecord 7.2+ with Ruby 3.3+
- Support for reparenting children (and all their descendants)
- Support for single-table inheritance (STI) within the hierarchy
find_or_create_by_pathfor building out heterogeneous hierarchies quickly and conveniently- Support for deterministic ordering
- Support for preordered traversal of descendants
- Support for rendering trees in DOT format, using Graphviz
- Excellent test coverage in a comprehensive variety of environments
See Bill Karwin's excellent Models for hierarchical data presentation for a description of different tree storage algorithms.
- Installation
- Warning
- Usage
- Accessing Data
- Polymorphic hierarchies with STI
- Deterministic ordering
- Concurrency
- Multi-Database Support
- FAQ
- Testing
- Change log
Note that closure_tree only supports ActiveRecord 7.2 and later, and has test coverage for MySQL, PostgreSQL, and SQLite.
-
Add
gem 'closure_tree'to your Gemfile -
Run
bundle install -
Add
has_closure_tree(oracts_as_tree, which is an alias of the same method) to your hierarchical model:class Tag < ApplicationRecord has_closure_tree end class AnotherTag < ApplicationRecord acts_as_tree end
Make sure you check out the large number of options that
has_closure_treeaccepts.Note: The
acts_as_treealias is only created if your model doesn't already have a method with that name. This prevents conflicts with other gems like the originalacts_as_treegem.IMPORTANT: Make sure you add
has_closure_treeafterattr_accessibleandself.table_name =lines in your model.If you're already using other hierarchical gems, like
ancestryoracts_as_tree, please refer to the warning section! -
Add a migration to add a
parent_idcolumn to the hierarchical model. You may want to also add a column for deterministic ordering of children, but that's optional.class AddParentIdToTag < ActiveRecord::Migration[7.2] def change add_column :tags, :parent_id, :integer end end
The column must be nullable. Root nodes have a
NULLparent_id. -
Run
rails g closure_tree:migration tag(and replacetagwith your model name) to create the closure tree table for your model.By default the table name will be the model's table name, followed by "_hierarchies". Note that by calling
has_closure_tree, a "virtual model" (in this case,TagHierarchy) will be created dynamically. You don't need to create it. -
Run
rake db:migrate -
If you're migrating from another system where your model already has a
parent_idcolumn, runTag.rebuild!and yourtag_hierarchiestable will be truncated and rebuilt.If you're starting from scratch you don't need to call
rebuild!.
NOTE: Run rails g closure_tree:config to create an initializer with extra
configurations. (Optional)
As stated above, using multiple hierarchy gems (like ancestry or nested set) on the same model
will most likely result in pain, suffering, hair loss, tooth decay, heel-related ailments, and gingivitis.
Assume things will break.
Create a root node:
grandparent = Tag.create(name: 'Grandparent')Child nodes are created by appending to the children collection:
parent = grandparent.children.create(name: 'Parent')Or by appending to the children collection:
child2 = Tag.new(name: 'Second Child')
parent.children << child2Or by calling the "add_child" method:
child3 = Tag.new(name: 'Third Child')
parent.add_child child3Or by setting the parent on the child :
Tag.create(name: 'Fourth Child', parent: parent)Then:
grandparent.self_and_descendants.collect(&:name)
#=> ["Grandparent", "Parent", "First Child", "Second Child", "Third Child", "Fourth Child"]
child1.ancestry_path
#=> ["Grandparent", "Parent", "First Child"]You can find as well as find_or_create by "ancestry paths".
If you provide an array of strings to these methods, they reference the name column in your
model, which can be overridden with the :name_column option provided to has_closure_tree.
child = Tag.find_or_create_by_path(%w[grandparent parent child])As of v5.0.0, find_or_create_by_path can also take an array of attribute hashes:
child = Tag.find_or_create_by_path([
{name: 'Grandparent', title: 'Sr.'},
{name: 'Parent', title: 'Mrs.'},
{name: 'Child', title: 'Jr.'}
])If you're using STI, The attribute hashes can contain the sti_name and things work as expected:
child = Label.find_or_create_by_path([
{type: 'DateLabel', name: '2014'},
{type: 'DateLabel', name: 'August'},
{type: 'DateLabel', name: '5'},
{type: 'EventLabel', name: 'Visit the Getty Center'}
])Nodes can be moved around to other parents, and closure_tree moves the node's descendancy to the new parent for you:
d = Tag.find_or_create_by_path %w[a b c d]
h = Tag.find_or_create_by_path %w[e f g h]
e = h.root
d.add_child(e) # "d.children << e" would work too, of course
h.ancestry_path #=> ["a", "b", "c", "d", "e", "f", "g", "h"]When it is more convenient to simply change the parent_id of a node directly (for example, when dealing with a form <select>), closure_tree will handle the necessary changes automatically when the record is saved:
j = Tag.find 102
j.self_and_ancestor_ids #=> [102, 87, 77]
j.update parent_id: 96
j.self_and_ancestor_ids #=> [102, 96, 95, 78]hash_tree provides a method for rendering a subtree as an
ordered nested hash:
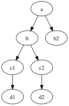
b = Tag.find_or_create_by_path %w(a b)
a = b.parent
b2 = Tag.find_or_create_by_path %w(a b2)
d1 = b.find_or_create_by_path %w(c1 d1)
c1 = d1.parent
d2 = b.find_or_create_by_path %w(c2 d2)
c2 = d2.parent
Tag.hash_tree #=> {a => {b => {c1 => {d1 => {}}, c2 => {d2 => {}}}, b2 => {}}}
Tag.hash_tree(:limit_depth => 2) #=> {a => {b => {}, b2 => {}}}
b.hash_tree #=> {b => {c1 => {d1 => {}}, c2 => {d2 => {}}}}
b.hash_tree(:limit_depth => 2) #=> {b => {c1 => {}, c2 => {}}}If your tree is large (or might become so), use :limit_depth.
Without this option, hash_tree will load the entire contents of that table into RAM. Your
server may not be happy trying to do this.
Since most of closure_tree's methods (e.g. children) return regular ActiveRecord scopes, you can use the includes method for eager loading, e.g.
comment.children.includes(:author)However, note that the above approach only eager loads the requested associations for the immediate children of comment. If you want to walk through the entire tree, you may still end up making many queries and loading duplicate copies of objects.
In some cases, a viable alternative is the following:
comment.self_and_descendants.includes(:author)This would load authors for comment and all its descendants in a constant number of queries. However, the return value is an array of Comments, and the tree structure is thus lost, which makes it difficult to walk the tree using elegant recursive algorithms.
A third option is to use has_closure_tree_root on the model that is composed by the closure_tree model (e.g. a Post may be composed by a tree of Comments). So in post.rb, you would do:
# app/models/post.rb
has_closure_tree_root :root_commentThis gives you a plain has_one association (root_comment) to the root Comment (i.e. that with null parent_id).
It also gives you a method called root_comment_including_tree, which you can invoke as follows:
a_post.root_comment_including_tree(:author)The result of this call will be the root Comment with all descendants and associations loaded in a constant number of queries. Inverse associations are also setup on all nodes, so as you walk the tree, calling children or parent on any node will not trigger any further queries and no duplicate copies of objects are loaded into memory.
The class and foreign key of root_comment are assumed to be Comment and post_id, respectively. These can be overridden in the usual way.
The same caveat stated above with hash_tree also applies here: this method will load the entire tree into memory. If the tree is very large, this may be a bad idea, in which case using the eager loading methods above may be preferred.
to_dot_digraph is suitable for passing into Graphviz.
For example, for the above tree, write out the DOT file with ruby:
File.open("example.dot", "w") { |f| f.write(Tag.root.to_dot_digraph) }Then, in a shell, dot -Tpng example.dot > example.png, which produces:
If you want to customize the label value, override the #to_digraph_label instance method in your model.
Just for kicks, this is the test tree I used for proving that preordered tree traversal was correct:
When you include has_closure_tree in your model, you can provide a hash to override the following defaults:
:parent_column_nameto override the column name of the parent foreign key in the model's table. This defaults to "parent_id".:hierarchy_class_nameto override the hierarchy class name. This defaults to the singular name of the model + "Hierarchy", likeTagHierarchy.:hierarchy_table_nameto override the hierarchy table name. This defaults to the singular name of the model + "_hierarchies", liketag_hierarchies.:dependentdetermines what happens when a node is destroyed. Defaults tonullify.:nullifywill simply set the parent column to null. Each child node will be considered a "root" node. This is the default.:adoptwill move children to their grandparent (parent's parent). If there is no grandparent, children become root nodes. This is useful for maintaining tree structure when removing intermediate nodes.:delete_allwill delete all descendant nodes (which circumvents the destroy hooks):destroywill destroy all descendant nodes (which runs the destroy hooks on each child node)nildoes nothing with descendant nodes
:name_columnused by #find_or_create_by_path, #find_by_path, andancestry_pathinstance methods. This is primarily useful if the model only has one required field (like a "tag").:orderused to set up deterministic ordering:scoperestricts root nodes and sibling ordering to specific columns. Can be a single symbol or an array of symbols. Example:scope: :user_idorscope: [:user_id, :group_id]. This ensures that root nodes and siblings are scoped correctly when reordering. See Ordering Roots for more details.:touchdelegates to thebelongs_toannotation for the parent, sotouching cascades to all children (the performance of this for deep trees isn't currently optimal).:advisory_lock_timeout_secondsWhen set, the advisory lock will raiseWithAdvisoryLock::FailedToAcquireLockif the lock cannot be acquired within the timeout period. This helps callers handle timeout scenarios (e.g. retry or fail fast). If the option is not specified, the lock is waited for indefinitely until it is acquired. See Lock wait timeouts in the with_advisory_lock gem for details.
Tag.rootreturns an arbitrary root nodeTag.rootsreturns all root nodesTag.leavesreturns all leaf nodesTag.hash_treereturns an ordered, nested hash that can be depth-limited.Tag.find_by_path(path, attributes)returns the node whose name path ispath. See (#find_or_create_by_path).Tag.find_or_create_by_path(path, attributes)returns the node whose name path ispath, and will create the node if it doesn't exist already.See (#find_or_create_by_path).Tag.find_all_by_generation(generation_level)returns the descendant nodes who aregeneration_levelaway from a root.Tag.find_all_by_generation(0)is equivalent toTag.roots.Tag.with_ancestor(ancestors)scopes to all descendants whose ancestors(s) is/are in the given list.Tag.with_descendant(ancestors)scopes to all ancestors whose descendant(s) is/are in the given list.Tag.lowest_common_ancestor(descendants)finds the lowest common ancestor of the descendants.
tag.rootreturns the root for this nodetag.root?returns true if this is a root nodetag.root_of?(node)returns true if current node is root of another onetag.child?returns true if this is a child node. It has a parent.tag.leaf?returns true if this is a leaf node. It has no children.tag.leavesis scoped to all leaf nodes in self_and_descendants.tag.depthreturns the depth, or "generation", for this node in the tree. A root node will have a value of 0. Also aliased aslevel.tag.parentreturns the node's immediate parent. Root nodes will return nil.tag.parent_of?(node)returns true if current node is parent of another onetag.childrenis ahas_manyof immediate children (just those nodes whose parent is the current node).tag.child_idsis an array of the IDs of the children.tag.child_of?(node)returns true if current node is child of another onetag.ancestorsis a ordered scope of [ parent, grandparent, great grandparent, … ]. Note that the size of this array will always equaltag.depth.tag.ancestor_idsis an array of the IDs of the ancestors.tag.ancestor_of?(node)returns true if current node is ancestor of another onetag.self_and_ancestorsreturns a scope containing self, parent, grandparent, great grandparent, etc.tag.self_and_ancestors_idsreturns IDs containing self, parent, grandparent, great grandparent, etc.tag.siblingsreturns a scope containing all nodes with the same parent astag, excluding self.tag.sibling_idsreturns an array of the IDs of the siblings.tag.self_and_siblingsreturns a scope containing all nodes with the same parent astag, including self.tag.descendantsreturns a scope of all children, childrens' children, etc., excluding self ordered by depth.tag.descendant_idsreturns an array of the IDs of the descendants.tag.descendant_of?(node)returns true if current node is descendant of another onetag.self_and_descendantsreturns a scope of self, all children, childrens' children, etc., ordered by depth.tag.self_and_descendant_idsreturns IDs of self, all children, childrens' children, etc., ordered by depth.tag.family_of?returns true if current node and another one have a same root.tag.hash_treereturns an ordered, nested hash that can be depth-limited.tag.find_by_path(path)returns the node whose name path fromtagispath. See (#find_or_create_by_path).tag.find_or_create_by_path(path)returns the node whose name path fromtagispath, and will create the node if it doesn't exist already.See (#find_or_create_by_path).tag.find_all_by_generation(generation_level)returns the descendant nodes who aregeneration_levelaway fromtag.tag.find_all_by_generation(0).to_a==[tag]tag.find_all_by_generation(1)==tag.childrentag.find_all_by_generation(2)will return the tag's grandchildren, and so on.
tag.destroywill destroy a node and do something to its children, which is determined by the:dependentoption passed tohas_closure_tree.
Polymorphic models using single table inheritance (STI) are supported:
- Create a db migration that adds a String
typecolumn to your model - Subclass the model class. You only need to add
has_closure_treeto your base class:
class Tag < ApplicationRecord
has_closure_tree
end
class WhenTag < Tag ; end
class WhereTag < Tag ; end
class WhatTag < Tag ; endNote that if you call rebuild! on any of the subclasses, the complete Tag hierarchy will be emptied, thus taking the hiearchies of all other subclasses with it (issue #275). However, only the hierarchies for the class rebuild! was called on will be rebuilt, leaving the other subclasses without hierarchy entries.
You can work around that by overloading the rebuild! class method in all your STI subclasses and call the super classes rebuild! method:
class WhatTag < Tag
def self.rebuild!
Tag.rebuild!
end
endThis way, the complete hierarchy including all subclasses will be rebuilt.
By default, children will be ordered by your database engine, which may not be what you want.
If you want to order children alphabetically, and your model has a name column, you'd do this:
class Tag < ApplicationRecord
has_closure_tree order: 'name'
endIf you want a specific order, add a new integer column to your model in a migration:
t.integer :sort_orderand in your model:
class OrderedTag < ApplicationRecord
has_closure_tree order: 'sort_order', numeric_order: true
endWhen you enable order, you'll also have the following new methods injected into your model:
tag.siblings_beforeis a scope containing all nodes with the same parent astag, whose sort order column is less thanself. These will be ordered properly, so thelastelement in scope will be the sibling immediately beforeselftag.siblings_afteris a scope containing all nodes with the same parent astag, whose sort order column is more thanself. These will be ordered properly, so thefirstelement in scope will be the sibling immediately "after"self
If your order column is an integer attribute, you'll also have these:
-
The class method
#roots_and_descendants_preordered, which returns all nodes in your tree, pre-ordered. -
node1.self_and_descendants_preorderedwhich will return descendants, pre-ordered. -
node1.append_child(node2)(which is an alias toadd_child), which will- set
node2's parent tonode1 - set
node2's sort order to place node2 last in thechildrenarray
- set
-
node1.prepend_child(node2)which will- set
node2's parent tonode1 - set
node2's sort order to place node2 first in thechildrenarray Note that all ofnode1's children's sort_orders will be incremented
- set
-
node1.prepend_sibling(node2)which will- set
node2to the same parent asnode1, - set
node2's order column to 1 less thannode1's value, and - increment the order_column of all children of node1's parents whose order_column is > node2's new value by 1.
- set
-
node1.append_sibling(node2)which will- set
node2to the same parent asnode1, - set
node2's order column to 1 more thannode1's value, and - increment the order_column of all children of node1's parents whose order_column is > node2's new value by 1.
- set
root = OrderedTag.create(name: 'root')
a = root.append_child(Label.new(name: 'a'))
b = OrderedTag.create(name: 'b')
c = OrderedTag.create(name: 'c')
# We have to call 'root.reload.children' because root won't be in sync with the database otherwise:
a.append_sibling(b)
root.reload.children.pluck(:name) #=> ["a", "b"]
a.prepend_sibling(b)
root.reload.children.pluck(:name) #=> ["b", "a"]
a.append_sibling(c)
root.reload.children.pluck(:name) #=> ["b", "a", "c"]
b.append_sibling(c)
root.reload.children.pluck(:name) #=> ["b", "c", "a"]With numeric ordering, root nodes are, by default, assigned order values globally across the whole database table. So for instance if you have 5 nodes with no parent, they will be ordered 0 through 4 by default. If your model represents many separate trees and you have a lot of records, this can cause performance problems, and doesn't really make much sense.
You can scope root nodes and sibling ordering by passing the scope option:
class Block < ApplicationRecord
has_closure_tree order: 'sort_order', numeric_order: true, scope: :user_id
endThis ensures that:
- Root nodes are scoped by the specified columns. You can filter roots like:
Block.roots.where(user_id: 123) - Sibling reordering only affects nodes with the same scope values
- Children reordering respects the parent's scope values
You can also scope by multiple columns:
class Block < ApplicationRecord
has_closure_tree order: 'sort_order', numeric_order: true, scope: [:user_id, :group_id]
endAlternatively, you can disable root ordering entirely by passing dont_order_roots: true:
has_closure_tree order: 'sort_order', numeric_order: true, dont_order_roots: trueIn this case, calling prepend_sibling and append_sibling on a root node or calling
roots_and_descendants_preordered on the model will raise a RootOrderingDisabledError.
The dont_order_roots option will be ignored unless numeric_order is set to true.
Several methods, especially #rebuild and #find_or_create_by_path, cannot run concurrently correctly.
#find_or_create_by_path, for example, may create duplicate nodes.
Database row-level locks work correctly with PostgreSQL, but MySQL's row-level locking is broken, and erroneously reports deadlocks where there are none. To work around this, and have a consistent implementation for both MySQL and PostgreSQL, with_advisory_lock is used automatically to ensure correctness.
If you are already managing concurrency elsewhere in your application, and want to disable the use
of with_advisory_lock, pass with_advisory_lock: false in the options hash:
class Tag < ApplicationRecord
has_closure_tree with_advisory_lock: false
endNote that you will eventually have data corruption if you disable advisory locks, write to your database with multiple threads, and don't provide an alternative mutex.
By default, closure_tree generates advisory lock names based on the model class name. You can customize this behavior in several ways:
# Static string
class Tag < ApplicationRecord
has_closure_tree advisory_lock_name: 'custom_tag_lock'
end
# Dynamic via Proc
class Tag < ApplicationRecord
has_closure_tree advisory_lock_name: ->(model_class) { "#{Rails.env}_#{model_class.name.underscore}" }
end
# Delegate to model method
class Tag < ApplicationRecord
has_closure_tree advisory_lock_name: :custom_lock_name
def self.custom_lock_name
"tag_lock_#{current_tenant_id}"
end
endThis is particularly useful when:
- You need environment-specific lock names
- You're using multi-tenancy and need tenant-specific locks
- You want to avoid lock name collisions between similar model names
Closure Tree fully supports running with multiple databases simultaneously, including mixing different database engines (PostgreSQL, MySQL, SQLite) in the same application. This is particularly useful for:
- Applications with read replicas
- Sharding strategies
- Testing with different database engines
- Gradual database migrations
- Full support for advisory locks via
with_advisory_lock - Excellent concurrency support with row-level locking
- Best overall performance for tree operations
- Advisory locks supported via
with_advisory_lock - Note: MySQL's row-level locking may incorrectly report deadlocks in some cases
- Requires MySQL 5.7.12+ to avoid hierarchy maintenance errors
- No advisory lock support - always returns false from
with_advisory_lock - Falls back to file-based locking for tests
- Suitable for development and testing, but not recommended for production with concurrent writes
When using multiple databases, closure_tree automatically detects the correct adapter for each connection:
class Tag < ApplicationRecord
connects_to database: { writing: :primary, reading: :replica }
has_closure_tree
end
class Category < ApplicationRecord
connects_to database: { writing: :sqlite_db }
has_closure_tree
endEach model will use the appropriate database-specific SQL syntax and features based on its connection adapter.
You can run the test suite against different databases:
# Run with PostgreSQL
DATABASE_URL=postgres://localhost/closure_tree_test rake test
# Run with MySQL
DATABASE_URL=mysql2://localhost/closure_tree_test rake test
# Run with SQLite (default)
rake testFor simultaneous multi-database testing, the test suite automatically sets up connections to all three database types when available.
You can customize error messages using I18n:
en-US:
closure_tree:
loop_error: Your descendant cannot be your parent!Yup! Ilya Bodrov wrote Nested Comments with Rails.
No. Please see issue 86 for details.
No. update_attribute skips the validation hook that is required for maintaining the
hierarchy table.
No. Please see issue 197 for details.
No. This gem's API is based on the assumption that each node has either 0 or 1 parent.
The underlying closure tree structure will support multiple parents, but there would be many breaking-API changes to support it. I'm open to suggestions and pull requests.
Test fixtures aren't going to be running your after_save hooks after inserting all your
fixture data, so you need to call .rebuild! before your test runs. There's an example in
the spec tag_spec.rb:
describe "Tag with fixtures" do
fixtures :tags
before :each do
Tag.rebuild! # <- required if you use fixtures
endHowever, if you're just starting with Rails, may I humbly suggest you adopt a factory library, rather than using fixtures? Lots of people have written about this already.
This is expected if you aren't using MySQL or Postgresql for your tests.
SQLite doesn't have advisory locks, so we resort to file locking, which will only work
if the FLOCK_DIR is set consistently for all ruby processes.
In your spec_helper.rb or minitest_helper.rb, add a before and after block:
before do
ENV['FLOCK_DIR'] = Dir.mktmpdir
end
after do
FileUtils.remove_entry_secure ENV['FLOCK_DIR']
endWhen building from source, the mysql2, pg, and sqlite gems need their native client libraries
installed on your system. Note that this error isn't specific to ClosureTree.
On Ubuntu/Debian systems, run:
sudo apt-get install libpq-dev libsqlite3-dev libmysqlclient-dev
bundle install
A bug was introduced in MySQL's query optimizer. See the workaround here.
Upgrade to MySQL 5.7.12 or later if you see this issue:
Mysql2::Error: You can't specify target table '*_hierarchies' for update in FROM clause
Closure tree comes with test matchers which you may use in your tests:
require 'test_helper'
require 'closure_tree/test/matcher'
class CategoryTest < ActiveSupport::TestCase
test "should be a closure tree" do
assert Category.new.is_a?(ClosureTree::Model)
end
endClosure tree is tested under every valid combination of
- Ruby 3.3+
- ActiveRecord 7.2+
- PostgreSQL, MySQL, and SQLite. Concurrency tests are only run with MySQL and PostgreSQL.
$ bundle
$ rake test # this will run the testsBy default the test are run with sqlite3 only. You run test with other databases by passing the database url as environment variable:
$ DATABASE_URL=postgres://localhost/my_database rake test See the change log.
- The 45+ engineers around the world that have contributed their time and code to this gem (see the changelog!)
- https://github.com/collectiveidea/awesome_nested_set
- https://github.com/patshaughnessy/class_factory
- JetBrains, which provides an open-source license to RubyMine for the development of this project.

